China CNC Milling » Blog » Modular Mechanical Fixtures for Shaft Parts: Design, CNC Standardization & Efficiency Gains
FAQ
What materials can you work with in CNC machining?
We work with a wide range of materials including aluminum, stainless steel, brass, copper, titanium, plastics (e.g., POM, ABS, PTFE), and specialty alloys. If you have specific material requirements, our team can advise the best option for your application.
What industries do you serve with your CNC machining services?
Our CNC machining services cater to a variety of industries including aerospace, automotive, medical, electronics, robotics, and industrial equipment manufacturing. We also support rapid prototyping and custom low-volume production.
What tolerances can you achieve with CNC machining?
We typically achieve tolerances of ±0.005 mm (±0.0002 inches) depending on the part geometry and material. For tighter tolerances, please provide detailed drawings or consult our engineering team.
What is your typical lead time for CNC machining projects?
Standard lead times range from 3 to 10 business days, depending on part complexity, quantity, and material availability. Expedited production is available upon request.
Can you provide custom CNC prototypes and low-volume production?
Can you provide custom CNC prototypes and low-volume production?
Hot Posts
In modern manufacturing, mechanical fixtures serve as critical equipment for ensuring machining accuracy and production efficiency, and their performance directly impacts product quality and manufacturing costs.
With the widespread adoption of high-mix, low-volume production models, traditional dedicated fixtures can no longer meet the demands of flexible production.
These fixtures suffer from long design cycles, poor versatility, and high storage costs.
Modular mechanical fixtures achieve rapid assembly and reconfiguration by standardizing and serializing functional components.
This significantly shortens fixture design and debugging cycles and reduces production costs.
As fundamental components in mechanical equipment, the machining quality of shaft parts is crucial to the performance of the entire machine.
Currently, issues in shaft part machining lead to significant fluctuations in machining accuracy and low production efficiency.
These issues include insufficient fixture positioning accuracy, unstable clamping force, and the lack of unified standards for CNC process parameters.
Therefore, conducting research on the structural design of modular mechanical fixtures and the standardization of CNC machining processes holds significant practical importance.
This paper focuses on positioning fixtures for shaft-type parts.
First, it analyzes the machining requirements for such parts to define the functional divisions and structural design of modular fixtures.
Second, based on machining process characteristics, it establishes a standardized system for CNC machining parameters.
Finally, it verifies the effectiveness of the proposed solution through experiments, providing a technical reference for the efficient and high-precision machining of shaft-type parts.
Theoretical Foundations
Theory of Modular Design
Modular design is a design methodology that divides a product into several independent modules based on function, achieving product diversification through standardized module design and assembly.
Its core principles include functional independence, where each module performs a single function and connects to other modules via standardized interfaces.
They also include interface standardization, which ensures interchangeability and compatibility among different modules.
Additionally, they include parameter series, in which engineers adjust key module parameters to meet the requirements of different operating conditions.
Engineers can express the mathematical model of modular design using Equation (1):
.jpg)
In the formula: P represents the overall performance of the product;
Mi represents the functional parameters of the i-th module;
Iij represents the interface compatibility coefficient between modules; n represents the total number of modules.
When Iij = 1, the modules are fully compatible; when Iij = 0, the modules are incompatible.
The Essence of Standardization in CNC Machining Processes
Standardization of CNC machining processes refers to establishing uniform specifications for machining operations, cutting parameters, tool selection, and other factors.
This creates standardized process documentation while ensuring machining quality.
Its core components include standardization of the machining sequence, which clarifies the steps and order of part machining.
They also include standardization of cutting parameters, which determines appropriate values for cutting speed, feed rate, depth of cut, and other parameters.
Additionally, they include standardization of tool and fixture matching, which ensures the stability of the machining process.
Engineers can achieve process standardization by establishing a process parameter database, which enables rapid retrieval and optimization of parameters, as mathematically expressed in Equation (2):
.jpg)
In the equation: S represents machining efficiency; vc represents cutting speed; f represents feed rate; ap represents cutting depth;
K represents the tool life coefficient. Engineers can maximize S by optimizing the combination of parameters.
Structural Design of Modular Fixtures for Shaft-Type Parts
Design Requirements Analysis
The machining of shaft-type parts primarily involves processes such as turning, milling, and grinding.
Positioning requirements rely on the shaft centerline, requiring engineers to provide both radial and axial positioning.
Taking a specific model of stepped shaft as an example, the part diameter ranges from Φ20 to Φ80 mm, with lengths from 100 to 300 mm.
Machining accuracy requirements are IT6–IT7, and surface roughness is Ra ≤ 1.6 μm.
Based on these machining requirements, the fixture must meet several criteria.
The positioning accuracy must be ≤0.01 mm. The clamping force must be adjustable within a range of 500–2000 N.
The module changeover time must be ≤10 minutes. The fixture must also be compatible with various equipment, including CNC lathes and milling machines.
Modular Functional Division
Based on the principle of functional independence, engineers divide the positioning and clamping fixture for shaft-type parts into three core modules: the positioning module, the clamping module, and the base module.
The positioning module is responsible for the reference positioning of the part.
It includes the V-block positioning unit and the center point positioning unit.
The clamping module ensures reliable fixation of the part.
It includes the hydraulic clamping unit and the pneumatic clamping unit.
The base module serves as the support structure. It comprises the base plate and the guide rail or slide unit.
The functions and parameters of each module are shown in Table 1.
| Module Type | Sub-module Name | Function Description | Key Parameter Range |
|---|---|---|---|
| Positioning Module | V-block Unit | Radial positioning | Opening angle 90° / 120°; positioning diameter Φ20–Φ80 mm |
| Positioning Module | Apex Unit | Axial positioning | Apex cone angle 60°; stroke 0–50 mm |
| Clamping Module | Hydraulic Unit | Power clamping | Clamping force 500–2000 N; response time ≤ 0.5 s |
| Clamping Module | Pneumatic Unit | Fast clamping | Clamping force 300–1500 N; working pressure 0.4–0.6 MPa |
| Base Module | Base Plate Unit | Support and fixation | Size 500 mm × 300 mm × 50 mm; hole spacing 50 mm |
| Base Module | Guide Rail Unit | Position adjustment | Stroke 0–200 mm; positioning accuracy ±0.005 mm |
Table 1: Functions and Parameters of Each Module
Parametric Design of Module Structures
Engineers used SolidWorks to create a 3D model of the module and applied parametric control to enable rapid adjustment of the module’s dimensions.
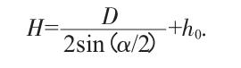
Taking the V-block positioning unit as an example, its key parameters include the positioning diameter D, the opening angle α, and the working height H.
The relationship among these three parameters is given by Equation (3):
.jpg)
In the equation, h₀ is the base height, taken as 20 mm. When α = 90°, H = 0.707D + 20; by entering the value of D, a V-block model of the corresponding dimensions can be automatically generated.
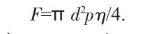
In the clamping module, the relationship between the clamping force F of the hydraulic clamping unit and the hydraulic cylinder diameter d and operating pressure p is given by Equation (4):
.jpg)
In the equation, η represents the mechanical efficiency, taken as 0.9.
When p = 10 MPa, engineers can adjust the clamping force in stages by varying d between 10 and 30 mm.
Standardized Interface Design
To ensure interchangeability between modules, the interface design employs a “locating pin + T-slot” combination structure.
The locating pin has a diameter of Φ10H7 with a fit tolerance of H7/g6; the T-slot is 16 mm wide, 20 mm deep, and spaced 50 mm apart.
The interfaces are connected using M8×20 hex socket head cap screws with a preload torque of 30 N·m.
Figure 1 shows a schematic diagram of the modular fixture interface structure, which enables rapid assembly of the positioning module and the base module through standardized interfaces.

Establishment of a Standardization System for CNC Machining Processes
Analysis of the Machining Process Flow for Shaft Components
The typical machining process for shaft components is as follows: rough turning of the blank → quenching and tempering → semi-finish turning → finish turning → keyway milling → grinding → inspection.
The critical processes are finishing turning and grinding, which directly affect the final precision of the part.
Taking the finishing turning of a stepped shaft as an example, the machining operations include the outer diameter, step surfaces, and relief grooves.
It is necessary to determine the tool type, cutting parameters, and toolpath.
Standardized Design of Machining Parameters
Based on cutting theory and experimental data, engineers have established a database of CNC machining process parameters.
Taking a 45 steel shaft-type part with a hardness (HB) of 220–250 as an example, the finishing turning operation employs a carbide tool (model CCMT09T304), and the standardized cutting parameters are shown in Table 2.
| Machining Surface | Cutting Speed v₍c₎ (m/min) | Feed Rate f (mm/r) | Depth of Cut aₚ (mm) | Spindle Speed n (r/min) |
|---|---|---|---|---|
| Outer Diameter | 120–150 | 0.1–0.15 | 0.3–0.5 | 800–1200 |
| Shoulder Surface | 100–120 | 0.08–0.12 | 0.2–0.3 | 600–800 |
| Relief Groove | 80–100 | 0.05–0.08 | 0.1–0.2 | 500–600 |
Table 2: Standardized Cutting Parameter Values
The optimization of process parameters follows the principle of minimizing production costs, with the objective function defined as:
.jpg)
Where: Ct represents the machining time cost; Cc represents the tool cost;
Cm represents the machine tool energy consumption cost.
The objective is to minimize C through parameter combination optimization.
Design of Fixture-Process Compatibility
To ensure coordination between fixtures and CNC machining processes, engineers have established the following rules for matching modular fixtures with machining operations.
Pneumatic clamping modules, which provide rapid response, are used for rough machining.
Hydraulic clamping modules, which provide stable clamping force, are used for finish machining.
Engineers position short shaft parts (L < 150 mm) using dual V-blocks, while they position long shaft parts (L ≥ 150 mm) using a combination of V-blocks and centers.
Engineers establish a fixture–process matching matrix to enable intelligent recommendations for module selection.
Experimental Validation and Results Analysis
Experimental Design
Using a specific model of drive shaft (material: 45 steel; dimensions: Φ50 mm × 200 mm) as the test subject, this study compares the machining results of traditional specialized fixtures with those of the modular fixture designed in this paper.
The experimental equipment included a CK6150 CNC lathe, a coordinate measuring machine (accuracy ±0.001 mm), and a force sensor (range 0–5,000 N).
The experimental metrics included: fixture changeover time, part dimensional accuracy (diameter error, cylindricity), surface roughness, and production efficiency.
Analysis of Experimental Results
When changing setups with modular fixtures, only the positioning and clamping modules need to be replaced. The average setup change time is 8 minutes, which is 40% shorter than that of traditional fixtures (13 minutes).
In terms of machining accuracy, parts processed using the modular fixture exhibit a diameter error of ±0.008 mm and a cylindricity of 0.005 mm.
Both of these values outperform those of the traditional fixture, which are ±0.015 mm and 0.012 mm, as shown in Figure 2.
The surface roughness Ra value decreased from 1.8 μm for traditional fixtures to 1.2 μm, meeting design requirements.
The horizontal axis represents the measurement position, and the vertical axis represents the error value, displaying the measurement results for traditional fixtures and modular fixtures, respectively.

After engineers standardized the manufacturing process and utilized the parameter database, they reduced the processing time per part from 12 minutes to 9 minutes, achieving a 25% increase in production efficiency.
Clamping force fluctuation tests showed that the standard deviation of the clamping force for the hydraulic clamping module was 35 N.
This is more stable than the 68 N recorded for the pneumatic module, thereby validating the rationality of the clamping module selection criteria.
Economic Analysis
The initial design cost of modular fixtures is 30% higher than that of traditional fixtures; however, through the reuse of modules, the total cost becomes lower than that of traditional fixtures once production exceeds five batches.
Based on an annual production of 10 types of shaft-type parts (200 pieces per batch), the annual cost savings amount to approximately 85,000 yuan, demonstrating significant economic benefits.
Conclusion
This study on the structural design of modular mechanical fixtures and the standardization of CNC machining processes for shaft-type parts demonstrates that, based on modular design theory, engineers can divide the positioning and clamping of shaft-type parts into three major modules.
These modules are positioning, clamping, and base.
By using parametric modeling and standardized interface design, engineers can achieve rapid reconfiguration and interchangeability of fixtures.
The established standardized system for CNC machining parameters, the defined process flows and parameter specifications, and the established fixture – process matching rules have effectively enhanced the stability of the machining process.
Experimental validation shows that engineers have reduced the changeover time for modular fixtures by 40%.
They have also controlled machining accuracy within ±0.01 mm, and increased production efficiency by 25%, yielding significant economic benefits.
Future research could further optimize the stiffness design of module interfaces.
It could also integrate Internet of Things (IoT) technology to enable real-time monitoring and early warning of fixture status.
These improvements would promote the development of modular fixtures toward intelligent systems.