China CNC Milling » Blog » Method for Estimating CNC Machining Time for Hot Forging Die Plates
FAQ
What materials can you work with in CNC machining?
We work with a wide range of materials including aluminum, stainless steel, brass, copper, titanium, plastics (e.g., POM, ABS, PTFE), and specialty alloys. If you have specific material requirements, our team can advise the best option for your application.
What industries do you serve with your CNC machining services?
Our CNC machining services cater to a variety of industries including aerospace, automotive, medical, electronics, robotics, and industrial equipment manufacturing. We also support rapid prototyping and custom low-volume production.
What tolerances can you achieve with CNC machining?
We typically achieve tolerances of ±0.005 mm (±0.0002 inches) depending on the part geometry and material. For tighter tolerances, please provide detailed drawings or consult our engineering team.
What is your typical lead time for CNC machining projects?
Standard lead times range from 3 to 10 business days, depending on part complexity, quantity, and material availability. Expedited production is available upon request.
Can you provide custom CNC prototypes and low-volume production?
Can you provide custom CNC prototypes and low-volume production?
Hot Posts
Hot forging die manufacturing is a critical foundational process in the equipment manufacturing industry.
The accurate estimation of machining time directly impacts a company’s production efficiency and cost control.
As hot forging dies become increasingly complex and precise, traditional, experience-based time estimation methods are no longer sufficient to meet modern production demands.
This is particularly true during the machining of features such as deep cavities with multiple slots and complex surfaces.
In these cases, the proper configuration and dynamic adjustment of process parameters are of paramount importance.
This paper uses data-driven methods and cutting mechanism analysis to develop a more universal and accurate machining time estimation model.
The model is designed to support die manufacturing theoretically.
It also provides practical guidance to improve manufacturing efficiency.
Characteristics of Forging Die Cavity Plate Machining
CNC machining of hot forging die cavity plates is characterized by complex surfaces, deep cavities with multiple slots, and high surface quality requirements.
During the machining of die cavity plates, the roughing stage accounts for more than 85% of the total material removal, while the finishing stage must ensure a machining allowance of 0.1 to 0.2 mm.
When machining deep cavities, the spindle tilt is typically set between 15° and 30° to ensure tool accessibility and cutting stability.
In actual production, the machining process for die cavity plates primarily consists of three stages: roughing, semi-finishing, and finishing.
Different tooling systems and machining parameters are employed for each stage, as shown in Figure 1.

As shown in Figure 1, as the machining process transitions from roughing to finishing, the tool diameter gradually decreases and the feed rate correspondingly decreases.
This stepwise configuration ensures machining efficiency while meeting the requirements for surface quality and machining accuracy of the model cavity plates.
Key Factors Affecting Machining Time
An in-depth analysis of the machining characteristics and processes involved in manufacturing hot-forging die cavity plates reveals that machining time is influenced by multiple interrelated factors.
To establish an accurate time estimation model, a systematic study must be conducted across three key dimensions: geometric features, process parameter configurations, and equipment performance.
This study will thoroughly investigate the mechanisms by which these factors affect machining efficiency and the patterns of their interactions.
-
Geometric Factors
The geometric characteristics of the mold cavity plate directly affect the length of the CNC machining path, with the depth-to-width ratio of the cavity being the most critical factor.
When the depth-to-width ratio exceeds 3.5, tool accessibility is significantly reduced; in such cases, the spindle tilt must be adjusted to ensure machining quality.
Furthermore, the distribution of surface curvature determines the selection of cutting parameters.
Particularly in areas where the local radius of curvature is less than 15 mm, the feed rate must be reduced by 25% to 35% to avoid machining defects.
The cavity sidewall angle has an important effect on machining.
When the angle is between 75° and 85°, the tool feed rate must be reduced by 12% for every 5° decrease to maintain stability.
Surface quality requirements also determine how many machining passes are needed.
When surface roughness must be below Ra 0.8, the number of finishing passes must be increased by 1 to 2.
-
Machining Parameters
The impact of machining parameter settings on machining time is primarily reflected in three aspects: cutting parameters, feed rate, and tool selection.
Regarding cutting parameters, the ratio of cutting depth to width should be maintained within the range of 0.6 to 0.8 to ensure optimal material removal efficiency.
If this ratio deviates from the optimal range of 0.7 ± 0.1, machining time will increase by 7%.
The appropriate setting of feed rate must balance efficiency and machining stability.
Typically, during the roughing stage, the feed rate can be increased to 4,000–6,000 mm/min to improve efficiency.
During the finishing stage, it must be reduced to 800–1,200 mm/min to ensure surface quality.
Tool selection also has a significant impact on machining efficiency.
Using solid carbide end mills can reduce tool change time by 35%.
The type of coating on the tool also plays an important role in optimizing cutting parameters.
For instance, AlTiN-coated tools can increase cutting speed by 20% under dry cutting conditions.
-
Equipment Factors
The dynamic characteristics of CNC machine tools have a critical impact on machining time, primarily reflected in spindle performance, feed systems, positioning accuracy, and control systems.
For every 5 kW increase in spindle rated power, cutting parameters can be increased by 12%, directly affecting material removal rates.
Meanwhile, when feed system acceleration is within the range of 3–5 m/s², idle travel time can be controlled to 15%–20% of the total machining time.
When the machine tool’s positioning accuracy and repeatability reach within 0.008 mm and 0.005 mm, respectively, accuracy compensation time can be reduced by 32%.
The pre-reading capacity of the CNC system significantly affects surface machining efficiency; when the pre-reading capacity reaches 1,000 program blocks,surface feed rates can be increased by 45%.
Furthermore, keeping tool changer cycle time within 4 seconds reduces auxiliary time by 8%, while a control system interpolation cycle of less than 2 ms ensures contour accuracy during high-speed machining.
Development of a Machining Time Estimation Model
In the machining process of hot forging die cavity plates, traditional methods for estimating machining time primarily rely on empirical values or simple linear relationships.
This makes it difficult to accurately reflect the complex coupled effects of multiple factors, such as geometric features, process parameters, and equipment performance.
This study adopts a data-driven approach to construct an estimation model that fully accounts for the interactions among various influencing factors.
The model also improves accuracy through continuous training with actual production data, thereby providing a more reliable basis for production planning and cost accounting in die manufacturing enterprises.
-
Data Acquisition and Processing
Based on the analysis of the aforementioned influencing factors, this study designed a multidimensional data acquisition plan.
By collecting machining data over a continuous six-month period from five five-axis CNC machining centers of different models, 2,780 valid data sets were obtained.
These data sets encompass geometric features, process parameters, and equipment performance.
The data acquisition system employs a distributed architecture to enable real-time monitoring and storage of key parameters during the machining process.
The sampling frequency was set to 100 Hz to ensure the capture of transient cutting process characteristics.
Data Preprocessing and Outlier Removal
During the data preprocessing stage, outliers were first identified and removed.
The 3σ criterion combined with the Mahalanobis distance method was used to select valid data points within the 95% confidence interval.
Subsequently, standardization was performed for different dimensional metrics, mapping each parameter value to the range [-1, 1] to improve the convergence performance of subsequent modeling.
Feature Extraction and Dimensionality Reduction
Feature vectors were extracted using principal component analysis, reducing the original 27 parameters to 12 key feature parameters.
Table 1 lists the key feature parameters after dimensionality reduction and their corresponding standardized ranges.
| Feature Parameter | Original Range | Standardized Range | Weight Coefficient |
|---|---|---|---|
| Cavity Depth-to-Width Ratio | 2.1–4.8 | [-0.85, 0.92] | 0.186 |
| Minimum Radius of Curvature (mm) | 8–35 | [-0.78, 0.88] | 0.165 |
| Sidewall Inclination Angle (°) | 72–88 | [-0.92, 0.95] | 0.142 |
| Cutting Depth (mm) | 0.8–3.5 | [-0.76, 0.82] | 0.125 |
| Feed Rate (mm/min) | 800–6000 | [-0.95, 0.91] | 0.108 |
| Spindle Speed (r/min) | 2000–12000 | [-0.88, 0.86] | 0.089 |
| Tool Diameter (mm) | 6–25 | [-0.82, 0.89] | 0.056 |
| Surface Roughness Requirement (μm) | 0.4–3.2 | [-0.91, 0.87] | 0.045 |
| Spindle Power (kW) | 15–45 | [-0.79, 0.84] | 0.037 |
| Feed Acceleration (m/s²) | 2–6 | [-0.86, 0.83] | 0.025 |
| Positioning Accuracy (mm) | 0.005–0.015 | [-0.88, 0.90] | 0.012 |
| Tool Change Time (s) | 3–8 | [-0.93, 0.85] | 0.010 |
Table 1: Standardized Range of Machining Feature Parameters for Hot Forging Die Cavities
To improve data quality, this study employed a sliding time window method to perform noise reduction on continuous sampling data, with a window length set to 0.5 seconds.
Wavelet transformation was used to filter out high-frequency interference signals, and a four-level decomposition using the db4 wavelet basis was selected to enhance the signal-to-noise ratio of the reconstructed signal.
-
Development of an Estimation Model
The machining process for hot-forging die cavity plates involves complex surfaces, deep cavities, and multiple grooves.
To handle these challenges, this study proposes a hierarchical, progressive machining time estimation model. The model uses deep learning techniques.
Hierarchical Model Structure
The model decomposes the machining process into three stages: rough machining, semi-finishing, and finishing.
By establishing sub-models for each stage and integrating them using ensemble learning methods, the model effectively improves the accuracy of time predictions for different machining stages.
Adaptive Process Parameter Adjustment Mechanism
Considering the specific requirements for tool accessibility and cutting stability in hot forging die machining, the model incorporates a mechanism for adaptive adjustment of process parameters.
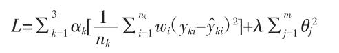
Its core algorithm employs a weighted loss function:
-1.jpg)
In the equation: k represents the machining stage, αk is the weighting coefficient for each stage, wi is the sample weight accounting for cavity characteristics, yki is the actual machining time, and yki is the predicted value.
Stage-Specific Process Characteristics
This hierarchical design enables the model to accurately account for the process characteristics of different machining stages.
These include the requirement for deep cutting in the roughing stage and surface quality control in the finishing stage.
The overall architecture of the model is shown in Figure 2, which establishes a time estimation framework tailored to the characteristics of hot forging dies.

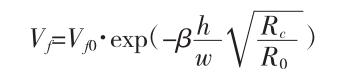
To accommodate the characteristics of deep cavity machining in hot forging dies, the model introduces a mechanism for adaptive adjustment of process parameters based on cutting forces:
-1.jpg)
In the equation: Vf represents the actual feed rate;
Vf0 represents the reference feed rate; h/w represents the depth-to-width ratio;
Rc represents the local radius of curvature;
R0 represents the reference radius of curvature; and β represents the adjustment coefficient.
This mechanism automatically adjusts cutting parameters based on the cavity’s geometric characteristics to ensure machining stability.
The model specifically enhances the ability to identify critical stages in the machining of hot-forging dies.
In deep cavity areas, the model calculates the tool contact angle in real time, dynamically predicts changes in cutting forces, and adjusts the feed rate accordingly.
This ensures that the predicted machining time more closely aligns with actual operating conditions.
For areas with significant changes in curvature, the model automatically increases the number of machining passes and incorporates the additional machining time into the total time prediction.
-
Model Training
This study employs an iterative optimization strategy for model training.
The training dataset consists of 2,224 samples (80% of the total sample size), while the validation and test sets each contain 278 samples (10% each).
The training process uses the Adam optimizer, with an initial learning rate set to 0.001, a batch size of 64, and a training duration of 500 epochs.
Model training employs a phased training strategy: first, the three submodels are pre-trained independently, followed by overall optimization using an ensemble learning method.
During the pre-training phase, different loss weights were applied to each submodel.
The weight coefficients α_(k) for the rough machining, semi-finishing, and finishing stages were set to 0.5, 0.3, and 0.2, respectively, to balance the prediction accuracy across different machining stages.
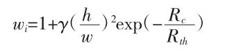
To enhance the model’s adaptability to deep-cavity features, a dynamic weight adjustment mechanism based on cutting stability was introduced:
-1.jpg)
In the formula: γ is the weight adjustment coefficient, and Rth is the curvature threshold; this mechanism makes the model more sensitive to machining time predictions for deep cavity regions.
An early stopping strategy is employed during training to prevent overfitting, and training is terminated if the validation set loss shows no improvement for 5 consecutive epochs.
L2 regularization is used for model parameter optimization, with the regularization coefficient λ set to 0.0001.
During the ensemble learning phase, the GradientBoosting framework is used to integrate the prediction results of the three submodels, thereby enhancing the model’s generalization ability.
Conclusion
Through a systematic analysis of the machining characteristics of cavity plates in hot forging dies, this study developed a hierarchical, progressive time estimation model based on deep learning.
The model demonstrates excellent adaptability when handling typical features such as deep cavities with multiple slots and complex surfaces.
In particular, the adaptive cutting force adjustment mechanism effectively enhances the model’s ability to dynamically optimize machining parameters.
Practical application validation indicates that the average error between the model’s estimated results and actual machining time is controlled within 8%.
This provides an effective tool for improving mold manufacturing efficiency and reducing production costs, demonstrating significant engineering value.